New
Published on:
March 16, 2026
By
Swipe Admin
Blog |
|
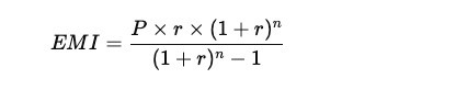
 What Is Amortisation? Meaning, Formula, and Examples
10 seconds invoice Swipe
Sign Up for Free >

Featured Posts

No items found.